专为高三考生提供有价值的资讯
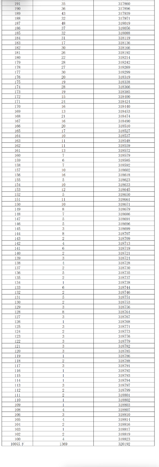
一分一段表将按照首选物理、首选历史分组进行高考成绩排名,且排名信息包含了每分段的同分人数、累计人数等,考生结合各校招生计划、往年最低录取位次等信息,即可大致筛选能上的大学名单。小编整理了湖南2025年高考一分一段表,供2026考生参考。

2025湖南省高考物理类一分一段表:











2025湖南省高考历史类一分一段表:












为决策部门提供支持:一分一段表作为统计表格,为决策部门提供支持,方便统筹规划。以高考成绩分段表为例,相关部门通过相应的高考成绩分段表,最终确定高考各个批次的录取分数线。
帮助考生定位:一分一段表显示每一个分数全省考生有多少名,能让考生计算出自己的排位。考生可以根据一分一段表,了解自己在全省考生中的排名和位置,以及与自己分数相同的考生人数。
辅助填报志愿:考生可以根据一分一段表来确定自己的志愿填报策略,通过比较往年的招生计划和一分一段表,可以更准确地预测自己被录取的可能性。
高考一分一段表,又称为“一分一档表”或“普通高招分数段统计表”,是高考分数公布后,各省、直辖市、自治区教育考试院根据本省(区、市)的招录数据和考生成绩水平,按文理科、按分数段统计的一个表格。它显示每一个分数全省考生有多少名,能让你计算出自己的排位。
Copyright 2019-2029 http://www.88gaokao.com 【八八高考】皖ICP备18020814号-5
声明: 本站 所有软件和文章来自互联网 如有异议 请与本站联系 本站为非赢利性网站 不接受任何赞助和广告