专为高三考生提供有价值的资讯
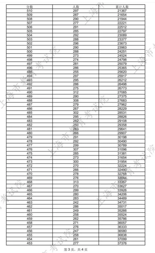
一分一段表,即普通高招分数段统计表。所谓“一分一段”,就是以“1分”为单位,统计考得该分数的考生人数和累计人数。考生结合各校招生计划、往年最低录取位次等信息,即可大致筛选能上的大学名单。小编整理了上海2025年高考一分一段表,供2026考生参考。

上海2025年高考一分一段表:




一分一段表是连接分数与录取的核心工具,其价值在于将抽象分数转化为具象位次。上海考生需以位次为基准,结合等效分换算、竞争分析和梯度策略,才能最大化录取概率。
值得注意的是,部分省份(如广东)采用5分一段表,使用逻辑与1分一段表一致,但精度稍低。最终,科学使用一分一段表的关键在于“看排名而非分数,重数据而非直觉”。
考生可通过本省教育考试院官网、官方微信公众号等平台获取一分一段表。例如,上海考生登录“上海教育考试院”网站,进入相关栏目即可访问。
Copyright 2019-2029 http://www.88gaokao.com 【八八高考】皖ICP备18020814号-5
声明: 本站 所有软件和文章来自互联网 如有异议 请与本站联系 本站为非赢利性网站 不接受任何赞助和广告