专为高三考生提供有价值的资讯
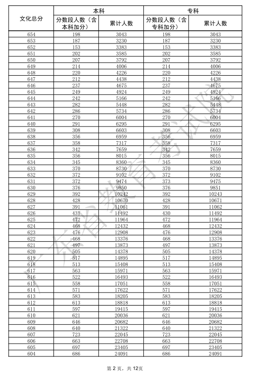
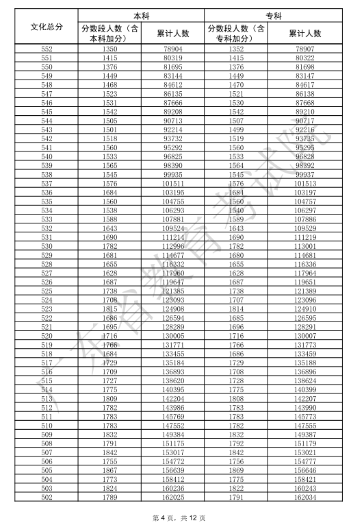
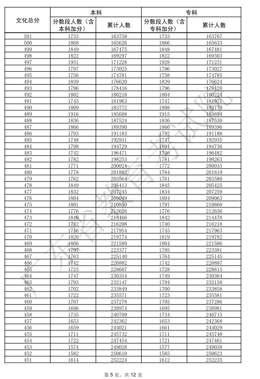
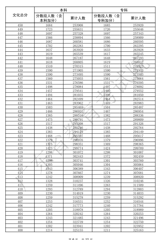
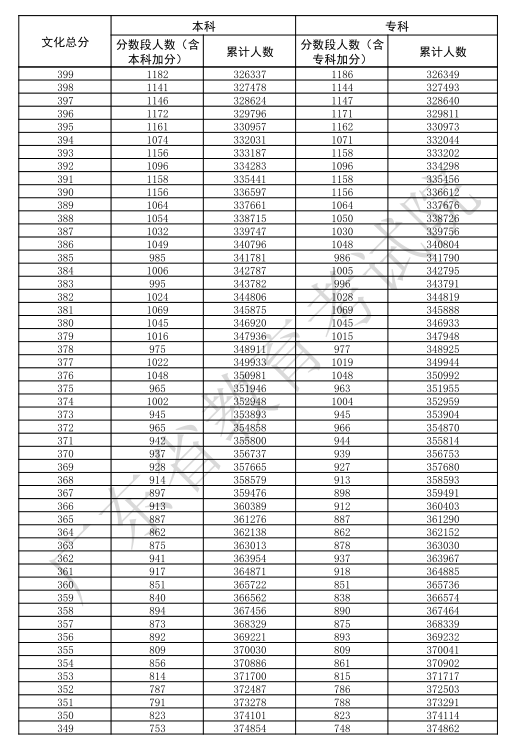
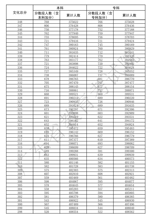
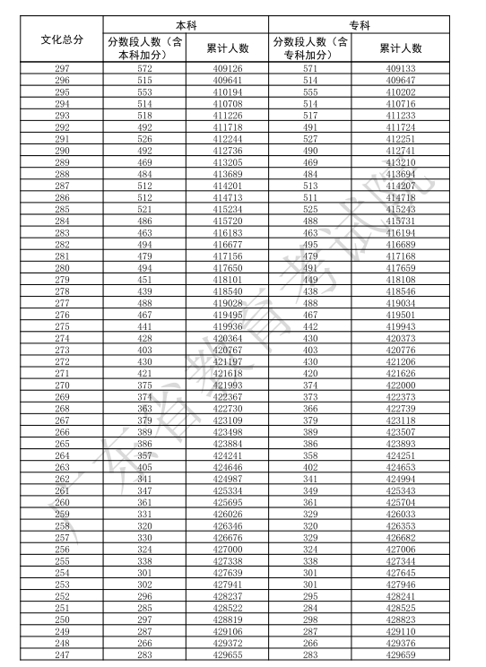
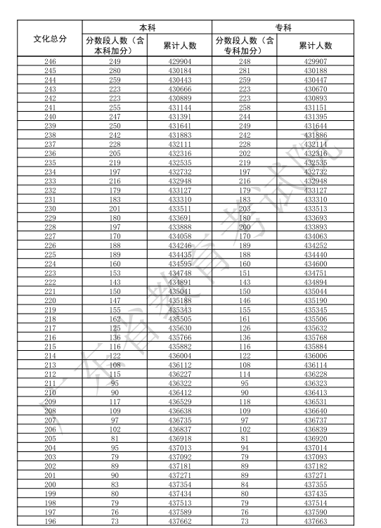
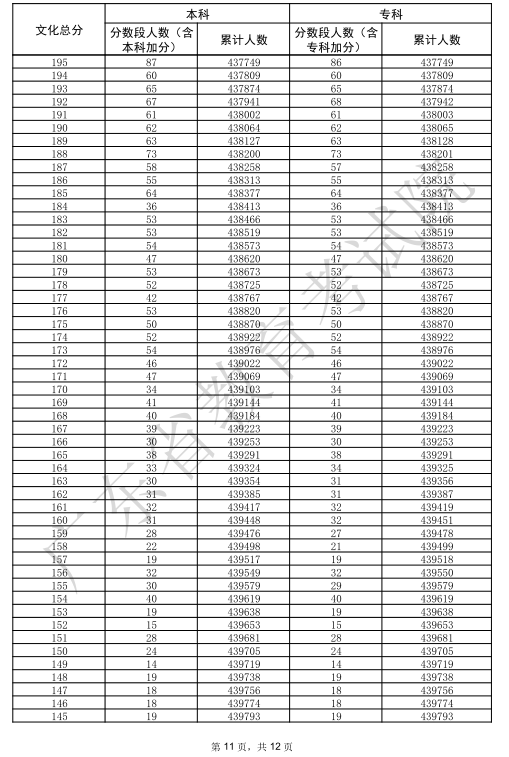
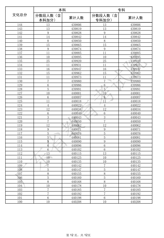
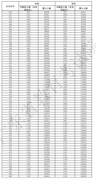
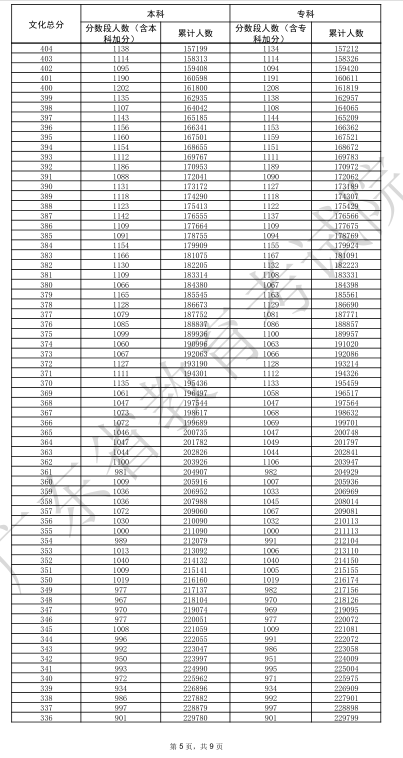
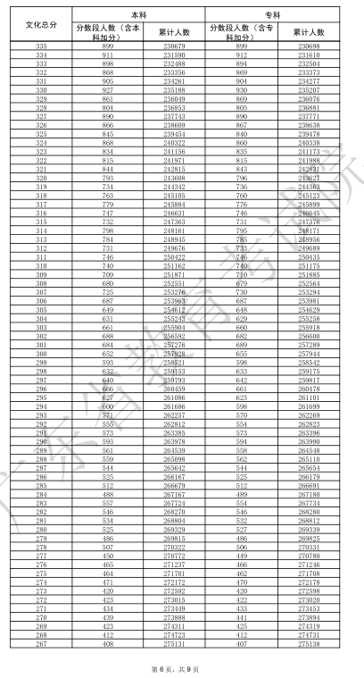
一分一段表将按照首选物理、首选历史分组进行高考成绩排名,且排名信息包含了每分段的同分人数、累计人数等,考生结合各校招生计划、往年最低录取位次等信息,即可大致筛选能上的大学名单。小编整理了广东2025年高考一分一段表,供2026考生参考。

2025广东高考物理类一分一段整理:












2025广东高考历史类一分一段整理:









1.确定自己高考成绩的全省排名
在当年广东省整理的一分一段表当中查找与自己高考成绩相对应的分数排名,以确定自己成绩在全省的位置。
2. 查看学校的往年投档情况表
查看学校往年各专业投档分排位,对学校要综合考虑其投档分数线、该分数当年在广东全省的排位以及在我省招生计划的变化情况。
3. 确定学校范围
根据自身成绩排位和学校各专业投档分排位可以上下确定一个大大的范围,因为是用排位来筛选,很难把握“冲稳保”的梯度,所以也要回到对应的分数查看一下跨度。
但是尽管如此,因为人为运算比较容易出错,因此我们还是更建议大家利用现代科学的方式直接圈定自己可以就读的院校。
Copyright 2019-2029 http://www.88gaokao.com 【八八高考】皖ICP备18020814号-5
声明: 本站 所有软件和文章来自互联网 如有异议 请与本站联系 本站为非赢利性网站 不接受任何赞助和广告